Hydronephrosis
| Article DOI | 10.1016/j.juro.2017.09.147 |
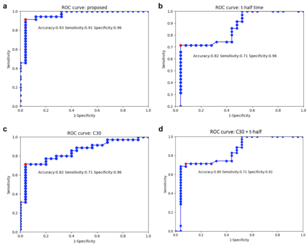
| Objective | To predict clinically significant hydronephrosis caused by UPJ obstruction |
| AI Approach | SVM |
| Data Source(s) | Institutional series (55 children) |
| Model Input | 45 clinical factors including: drainage curve features (skewness, kurtosis), T1/2, C30 |
| Model Outcome | Clinically significant hydronephrosis |
| Model Metrics | AUROC = 0.96, accuracy = 93% |
| Model Usability | NA |




Leave a comment